Aula 1 – Reações Iônicas

Aula de João Víctor Pimentel

1. Reações Iônicas

1.1 Mecanismo de reação
Indica o fluxo de elétrons e, por conseguinte, as ligações quebradas e formadas no decorrer da reação. É teórico, pode ser corroborado por experimentos, mas às vezes não há consenso sobre o mecanismo pelo qual determinada reação ocorre. Ocorre em uma ou mais etapas. Setas simples indicam o movimento de pares eletrônicos. Meias setas (serão usadas no estudo das reações radicalares) indicam o fluxo de elétrons individuais. As setas apontam da origem para o destino desses elétrons.

Há alguns tipos de mecanismos e de intermediários (espécies instáveis que são formadas e consumidas no decurso da reação). No caso das reações iônicas, o mecanismo é a clivagem heterolítica, isto é, uma reação é quebrada e ambos os elétrons envolvidos nela são recebidos pelo mesmo átomo. Nelas, os elétrons se movem aos pares.

1.2 Nucleofilicidade e eletrofilicidade
Nas reações orgânicas, nucleofilicidade e eletrofilicidade são conceitos muito importantes para se avaliar a reatividade dos compostos.

Via de regra, os eletrófilos têm baixa densidade eletrônica e, desse modo, tendem a receber elétrons.

Nucleófilos têm alta densidade eletrônica e tendência a doar elétrons. Qualquer ânion ou molécula com par de elétrons livre é nucleófilo em potencial.

Note que eletrófilos e nucleófilos podem ser moléculas, íons ou grupos funcionais.

Define-se substrato como o reagente cujo carbono forma nova ligação. Reações heterolíticas nas quais um nucleófilo doa par eletrônico ao substrato (de caráter eletrofílico) são chamadas nucleofílicas. Reações heterolíticas nas quais um eletrófilo recebe par eletrônico do substrato (de caráter nucleofílico) são chamadas eletrofílicas.

1.3 Reações de substituição nucleofílica em haletos de alquila
Consiste na substituição do halogênio por algum nucleófilo. Há uma clivagem heterolítica na qual o halogênio leva consigo os elétrons da ligação que anteriormente formava com o átomo de carbono. O haleto iônico é um subproduto da reação e é denotado por grupo de saída ou grupo abandonador, termo muito utilizado no contexto das reações orgânicas para indicar um substituinte que sai como uma espécie relativamente estável no meio reacional.

  • Capturar2Capturar4Exemplos:Capturar3

Capturar5 Capturar6 Capturar7

A ligação halogênio-carbono é muito polarizada, devido à maior eletronegatividade do halogênio em relação ao carbono. Veja a tendência de polaridade dessas ligações:

Capturar

1.3.1 Substituição nucleofílica bimolecular (SN2)

Capturar8
Os experimentos mostram que a velocidade depende da concentração do clorometano e da concentração do íon hidróxido. Quando dobramos a concentração de clorometano, a velocidade duplica. Quando dobramos a concentração do íon hidróxido, a velocidade duplica. Quando dobramos ambas as concentrações, a velocidade aumenta de um fator de quatro. Portanto:

Capturar10

Esta reação é dita de segunda ordem global. É razoável concluir, portanto, que para a reação ocorrer, um íon hidróxido e uma molécula de clorometano devem colidir. Dizemos também que a reação é bimolecular. Por bimolecular queremos dizer que duas espécies estão envolvidas na etapa cuja velocidade está sendo medida. Em geral, o número de espécies envolvidas em uma etapa de reação é chamado de molecularidade da reação.

  • Mecanismo:

Capturar11

  • O nucleófilo se aproxima por trás do carbono que contém o grupo abandonador, isto é, do lado diretamente oposto ao grupo abandonador.
  • À medida que o nucleófilo forma uma ligação e o grupo abandonador se afasta, o átomo de carbono sofre inversão – sua configuração de ligação tetraédrica é invertida para o lado oposto.
  • A reação SN2 ocorre em apenas uma etapa (sem quaisquer intermediários) através da formação de um arranjo instável de átomos, chamado de estado de transição.

Com uma molécula como o clorometano, no entanto, não há como provar que o ataque por um nucleófilo envolveu inversão de configuração do átomo de carbono, pois uma forma do cloreto de metila é idêntica à sua forma invertida. Entretanto, com uma molécula cujo carbono sofre SN2, podemos observar os resultados de uma inversão de configuração através da mudança que ocorre na estereoquímica.

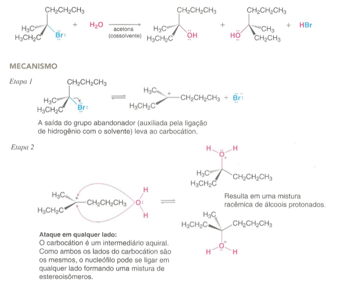
1.3.2 Substituição nucleofílica unimolecular (SN1)
Quando o cloreto de terc-butila reage com o hidróxido de sódio em uma mistura de água e acetona, os resultados cinéticos são bastante diferentes daqueles para a reação do clorometano com o hidróxido. A velocidade de formação do álcool terc-butílico é dependente da concentração do cloreto de terc-butila, mas é independente da concentração do íon hidróxido. Dobrando- se a concentração do cloreto de terc-butila dobra-se a velocidade da reação, mas a variação da concentração do íon hidróxido (dentro de limites) não tem efeito apreciável. Assim, a equação de velocidade para essa substituição é de primeira ordem em relação ao cloreto de terc-butila é de primeira ordem global:

Capturar12

Se uma reação ocorre em uma série de etapas, e se uma etapa é intrinsecamente mais lenta do que todas as outras, então a velocidade da reação global será basicamente a mesma da velocidade dessa etapa mais lenta. Essa etapa lenta, consequentemente, é chamada de etapa limitante da velocidade ou etapa determinante da velocidade.

  • Mecanismo:

Capturar13

O mecanismo para a reação do cloreto de terc-butila com água pode ser descrito em três etapas. A primeira etapa é a etapa lenta — a etapa determinante da velocidade. Nela uma molécula de cloreto de terc-butila ioniza-se e torna-se um cátion terc-butila e um íon cloreto. O solvente (água) estabiliza esses íons em formação através da solvatação.

Nas reações SN1 nas quais o grupo abandonador sai de um centro de quiralidade, quase sempre há racemização extensa e, algumas vezes, completa.

capturar15 Capturar17 Capturar18

A reatividade dos carbocátions segue:

Capturar14

1.3.3 Fatores que afetam SN1 e SN2

Capturar19

1.4 Reações de eliminação em haletos de alquila

As reações de eliminação nos haletos de alquila são reações importantes que competem com as reações de substituição. Em uma reação de eliminação os fragmentos de alguma molécula são removidos (eliminados) a partir de átomos adjacentes do reagente. Essa eliminação leva à formação de uma ligação múltipla. São chamadas deidroalogenações.

Capturar

1.4.1 Eliminação bimolecular (E2)

Quando o brometo de isopropila é aquecido com etóxido de sódio em etanol para formar propeno, a velocidade da reação depende da concentração do brometo de isopropila e da concentração do íon etóxido. A equação da velocidade é de primeira ordem em cada um dos reagentes e de segunda ordem no global.

  • Mecanismo:

Capturar2

1.4.1 Eliminação unimolecular (E1)

A etapa inicial para ambas as reações é a formação de um cátion terc-butila como intermediário comum. Essa também é a etapa determinante da velocidade para ambas as reações; assim, ambas as reações são unimoleculares.

Capturar3

Se uma molécula do solvente reage como um nucleófilo no átomo de carbono positivo do cátion terc-butila, o produto é o álcool terc-butílico ou o terc-butil etil éter e a reação é SN1.

Se, no entanto, uma molécula de solvente age como uma base e remove um dos átomos de hidrogênio como um próton, o produto é o metilpropeno e a reação é E1.

  • Mecanismo:

Capturar4 Capturar5

 

1.5 Resumo

Capturar6