Aula de João Víctor Pimentel
3. Isomeria
Isômeros são substâncias que possuem mesma fórmula molecular mas diferem na estrutura molecular.
Há os seguintes tipos de isomeria:
- Plana ou estrutural: a sequência dos átomos e de suas ligações é diferente.
- Isomeria de cadeia: mesma função, esqueletos carbônicos distintos.

- Isomeria de função: funções orgânicas diferentes.

- Isomeria de posição: mesma função, diferem na posição do grupo funcional.

- Isomeria de compensação ou metameria: diferem na posição de heteroátomo na cadeia.


- Tautomeria: estão em equilíbrio dinâmico (há interconversão entre os dois isômeros).

- Espacial ou estereoisomeria: a geometria das ligações é diferente.
- Geométrica: os compostos diferem na rotação de uma ligação.
Obs.: ligações triplas e simples podem ser rotacionadas em torno de seu eixo, a não ser em anéis, e ligações duplas são rígidas e não rotacionam.
- Óptica: os compostos diferem no arranjo tridimensional de seus átomos, ou seja, devem ter centros assimétricos (quirais), geralmente carbonos tetraédricos com os quatro ligantes diferentes.

3.1 Isomeria geométrica
Define-se estereoisômeros geométricos (= diastereoisômeros = diastereômeros) como estereoisômeros (= isômeros espaciais = isômeros configuracionais) que não são imagens especulares um do outro.
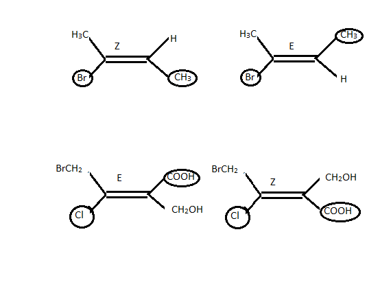
3.1.1 Compostos insaturados etênicos
Cada ligação dupla pode assumir duas configurações relativas (se cada carbono da dupla possui os dois ligantes diferentes).
Define-se (Z) como a configuração na qual o ligante de maior prioridade de um carbono está do mesmo lado (em relação à ligação dupla) que o ligante de maior prioridade do outro.
Define-se (E) como a configuração na qual o ligante de maior prioridade de um carbono está do mesmo lado que o ligante de menor prioridade do outro.
Cis é o equivalente a (Z) e trans é o equivalente a (E) quando os dois ligantes de um carbono da dupla são iguais aos dois ligantes do outro carbono da dupla. A nomenclatura cis-trans para alcenos traz dúvidas quando esses ligantes são diferentes, de modo que não é recomendada pela IUPAC. Já a nomenclatura E/Z é absoluta e sempre pode ser usada.
A prioridade é maior quanto maior o número atômico do átomo. Por exemplo, entre um grupo -Br e um grupo -$$CH_{3}$$, o -Br tem maior prioridade, pois tem número atômico maior que o carbono.
Veja a imagem anterior (lembre-se de que, quando não desenhamos todas as ligações do carbono, fica subentendido que há hidrogênios onde nada foi desenhado). O grupo -$$CH_{3}$$ tem maior prioridade que o grupo -H.
No caso de os dois grupos se iniciarem com o mesmo átomo, passa-se para o próximo até haver o desempate.
Uma ligação múltipla, para fins de prioridade, é desmembrada da seguinte forma:
A nomenclatura de compostos desse tipo é dada como segue:
3.1.2 Compostos cíclicos
Agora vê-se a direção dos grupos em relação às faces do anel, e não à ligação dupla. Usa-se cis e trans nesse caso, que vale somente quando os grupos são iguais (mas não é recomendada pela IUPAC). A configuração absoluta (R) ou (S), no entanto, sempre pode ser usada (será vista no tópico 3.2.2).
3.1.3 Isomeria conformacional
Estereoisômeros conformacionais (rotâmeros) diferem pela rotação de ligações simples, que são facilmente rotacionáveis. Geralmente não são isolados, pois a barreira de energia para essas rotações é muito pequena.
A seguir, são mostrados os isômeros conformacionais do ciclohexano, além das energias relativas de cada um (quanto maior a energia, menor a estabilidade):
3.2 Isomeria óptica
Observa-se, por meio de um aparelho chamado polarímetro, que compostos assimétricos (= quirais) puros ou em solução rotacionam o plano de propagação da luz plano-polarizada, sendo chamados, portanto, de opticamente ativos. Se um composto rotaciona o plano para a esquerda, ele é dito levógiro e simbolizado por (-) e se ele rotaciona o plano para a direita, é dito dextrógiro e simbolizado por (+). Com o polarímetro é medida uma grandeza específica de cada composto quiral (para compostos aquirais, ou seja, simétricos, ela vale 0), a rotação específica.
Define-se enantiômeros como estereoisômeros que são imagens especulares não sobreponíveis um do outro (como a mão direita e a mão esquerda).
Define-se mistura racêmica (= racemato) como uma mistura equimolar de enantiômeros que é, desse modo, opticamente inativa (não rotaciona o plano de propagação da luz plano-polarizada) por compensação externa.
Define-se mesocomposto como aquele que contém mais de um centro estereogênico (= quiral = assimétrico, por exemplo um carbono tetraédrico com quatro ligantes diferentes), mas possui plano de simetria, sendo opticamente inativo por compensação interna.
Obs.: existem compostos quirais sem centros quirais.
3.2.1 Projeções
Para tornar a representação bidimensional da configuração tridimensional de moléculas mais fácil, foram desenvolvidas projeções.
- Cunha cheia e tracejada
- A cunha cheia representa uma ligação que aponta para fora do plano do papel (ou, no caso, da tela do seu computador ou celular), a cunha tracejada, uma que aponta para dentro do plano do papel, a linha reta representa uma ligação contida no plano do papel.

- Projeção de Fischer
- Ligações na horizontal apontam para fora do plano do papel e ligações verticais nas extremidades da molécula apontam para dentro do plano do papel.

- Projeção de Newman
- Representa a visão na direção de uma ligação. A interseção entre as três ligações da frente é o carbono da frente e a circunferência é o carbono de trás.

3.2.2 Regras de Cahn-Ingold-Prelog
São usadas para definir a configuração absoluta de um carbono quiral (carbono tetraédrico cujos quatro ligantes são diferentes).
As regras de prioridade são as mesmas que foram citadas na nomenclatura E/Z.
Para se classificar um carbono quiral em R ou S, primeiro numeram-se seus grupos substituintes de 1 a 4 em ordem de prioridade decrescente (1 é o de maior prioridade); em seguida, se for necessário, gira-se a molécula de modo que o grupo 4 fique apontado para trás; olhando dessa maneira, caso 1, 2 e 3, nessa ordem, estejam no sentido horário, o carbono tem configuração (R), caso 1,2 e 3, nessa ordem, estejam no sentido anti-horário, o carbono tem configuração (S).
É importante ressaltar que a configuração R/S não tem relação direta com o fato de o composto ser dextrógiro ou levógiro.














