Problemas
#1
Reagir óxido de isobuteno com metóxido de sódio em metanol gera principalmente 1-metoxi-2-metil-2-propanol. Explique esse resultado.
Óxido de Isobuteno
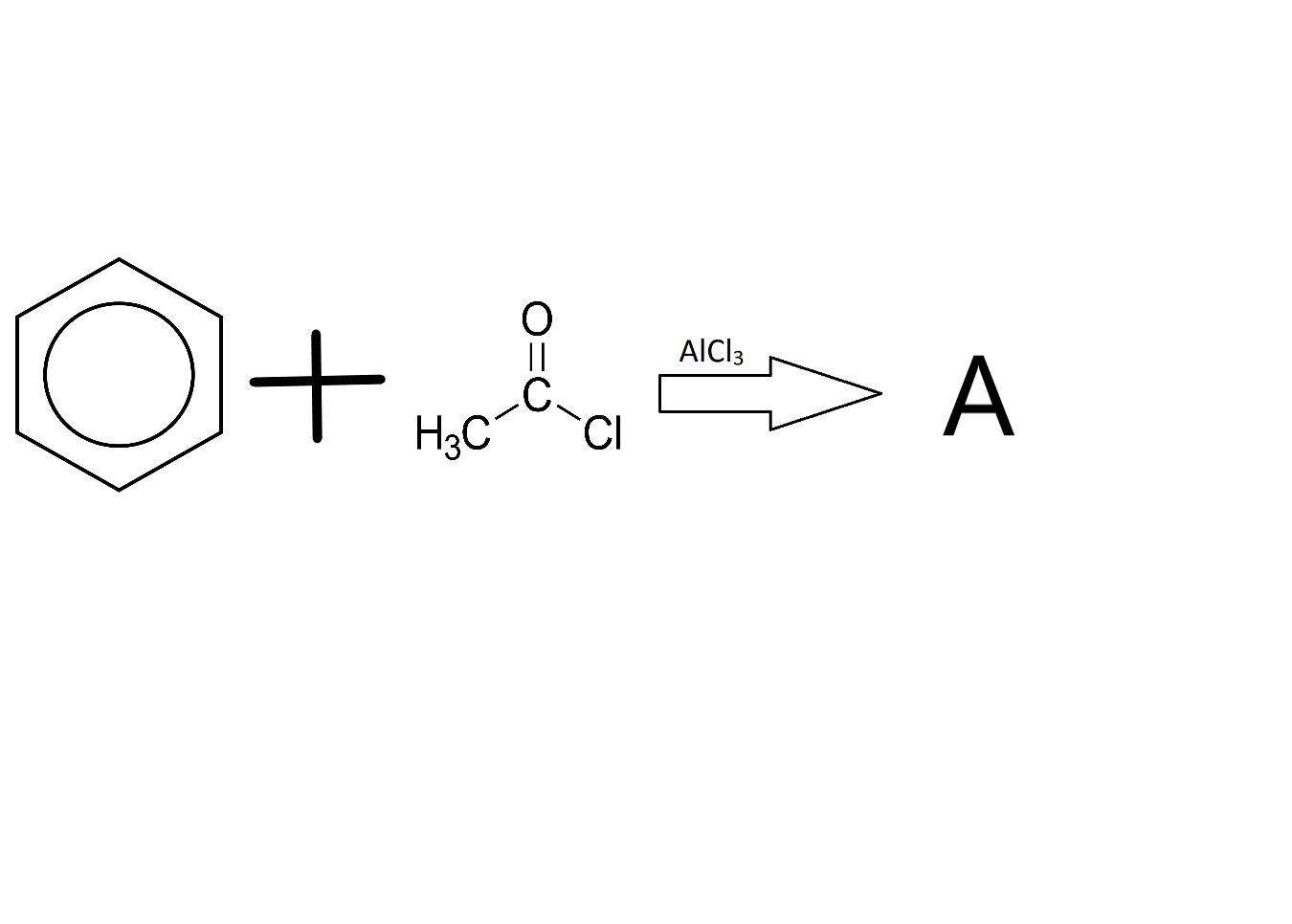
#2
Um éster de fórmula $$C_{14}H_{12}O_{2}$$ foi hidrolizado a um ácido (A) e a um álcool (B). O exame do ácido revelou que ele era o ácido benzóico. A oxidação do álcool também gerou ácido benzóico. Qual o nome e a fórmula estrutural do éster?
#3
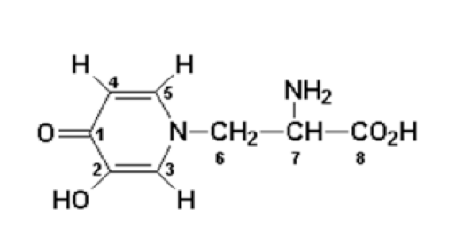
Um produto natural encontrado em algumas plantas leguminosas apresenta a seguinte estrutura:
a) Quais são os grupos funcionais presentes nesse produto?
b) Que tipo de hibridização os átomos de carbono apresentam nesta estrutura?
c) Quantas são as ligações sigma e pi presentes nesta substância?
#4
A substituição de um hidrogênio por uma etila no carbono secundário do butano resulta em um isômero de cadeia do:
A) 2-metil-butano.
B) 2-metil-pentano.
C) 3-metil-pentano.
D) pentano.
E) hexano.
#5
Diga o nome usual e o oficial dos seguintes compostos orgânicos, suas características, além das funções desses.
#6
O que se obtém ao aquecer brandamente uma mistura de ácidos maleico e fumárico com a finalidade de desidratá-lo?
#7
Indique os produtos:

#8
O índice de octanas, ou octanagem, é o número utilizado para expressar a qualidade de uma gasolina. Dizer, por exemplo, que uma gasolina apresenta octanagem 65 significa que, ao utilizá-la, o rendimento do motor é o mesmo que se fosse utilizada uma mistura contendo 65% de isoctano. O nome oficial do isoctano é 2-2-4-trimetilpentano. Com relação ao tema, julgue os itens a seguir em verdadeiro ou falso e justifique sua resposta.
0. A fórmula estrutural plana do isoctano é mostrada a seguir.
1. A gasolina é obtida por meio da destilação simples do petróleo.
2. O ponto de ebulição do heptano é maior que o do octano.
3. Uma das vantagens de se utilizar o álcool em substituição à gasolina está no fato de ele ser uma fonte renovável de energia.
#9
Considere o alceno de menor massa molecular e que apresenta isomeria geométrica e, em seguida, represente as estruturas dos isômeros:
a) cis e trans desse alceno.
b) constitucionais possíveis para esse alceno.
#10
Dentre os polímeros, cite a opção que contém o polímero que melhor conduz corrente elétrica quando dopado e a que contém, por ser termoplástico e transparente, o polímero que pode ser empregado na fabricação do pára-brisa de aeronaves.
a) Polietileno
b) Polipropileno
c) Poliestireno
d) Poliacetileno
e) Poli(tetrafluor-etileno)
#11
Envelopes contendo adoçantes dietéticos à base de aspartame contêm mais de 90%, em massa, de lactose. Sabendo-se que o organismo humano contém uma enzima, a lactase, capaz de catalisar a hidrólise da lactose, segundo a reação
e que produtos dietéticos (diet) são recomendados para pessoas portadoras de diabetes, responda:
a) Esse tipo de adoçante deveria ser chamado de produto dietético? Justifique.
b) A hidrólise da lactose é um processo de oxidorredução? Justifique.
c) Desenhe a conformação em barco dos monossacarídeos apresentados.
#12
Um hidrocarboneto insaturado (composto A) produz, por ozonólise, propanona e 2-metilpropanal.
a) Escreva a estrutura e o nome do composto A.
b) Escreva as estruturas e os nomes dos compostos orgânicos produzidos nas
reações do composto A com:
- $$B_2H_6$$, seguido de $$Zn$$, $$H+$$
- $$H_2 / Pd$$
- $$KMnO_4$$, $$OH-$$, a frio
- $$H_2O$$, $$H+$$
- $$Br_2$$, $$H_2O$$
#13
A conversão do composto B em C no chá preto, durante a adição de água fervente, é responsável pelo seu aroma. Apresente um mecanismo para essa transformação.
#14
Qual desses compostos forma epóxido se tratado com base? Explique.
#15
Qual dos seguintes compostos NÃO representa o ácido (R,R)-2-cloro-3-amino-butanoico?]
#16
O nome sistemático (IUPAC) do paracetamol, um dos analgésicos mais consumidos em todo o mundo, é N-(4-hidroxifenil)etanamida. O paracetamol pode ser obtido a partir da reação de:
$$a)$$ Um ácido e um anidrido
$$b)$$ Uma amina e um anidrido
$$c)$$ Um ácido e um éster
$$d)$$ Uma amina e um álcool
$$e)$$ Um ácido e um álcool
#17
Os compostos aromáticos, por serem bastante estáveis, sofrem preferencialmente reações de substituição, e, dentre estas, as de substituição eletrofílicas são as mais favoráveis. Considerando essas reações, proponha a estrutura de três compostos que apresentem ordem crescente de reatividade numa reação de nitração.
#18
Um composto orgânico foi submetido a análise por espectrometria de massas $$(EM)$$ por infravermelho $$(IV)$$ e por ressonância magnética nuclear de carbono-13 $$(RMN$$-$$^{13}C)$$ e as seguintes informações foram obtidas:
I) Por $$EM$$, sua massa foi definida como sendo $$100$$ $$g \cdot mol^{-1}$$.
II) Por $$IV$$ constatou-se a presença de uma carbonila.
III) Por $$RMN$$-$$^{13}C$$, deduziu-se que a molécula contém dois carbonos metílicos $$(CH_3)$$, três carbonos metilênicos $$(CH_2)$$ e um carbono não hidrogenado.
Proponha uma estrutura para esse composto.
#19
A cinética de reações químicas é um tópico de importância primeira para as atividades industriais: além de altos rendimentos, são visados processos que apresentem possibilidade de grande produção em pequeno intervalo de tempo. Nesse aspecto, são cada vez mais importantes os catalisadores, sejam eles homogêneos (como complexos de metais de transição) ou heterogêneos (como superfícies metálicas).
a) Dê um catalisador adequado para os processos abaixo:
a1) Hidrogenação catalítica do ácido maleico;
a2) Hidrólise do butanoato de etila (aromatizante industrial com cheiro de abacaxi);
a3) Desidratação do etanol;
a4) isomerização de cis-but-2-eno a trans-but-2-eno.
b) Dê o nome dos produtos formados nos processos a1-a3 acima (assuma que tanto o processo intramolecular quanto o intermolecular ocorrem no item a3).
Uma das principais classes de catalisadores são os catalisadores biológicos ou enzimas, que são proteínas (polipeptídeos) que apresentam função catalítica específica no organismo. Como polipeptídeos, as enzimas são polímeros compostos por aminoácidos, os quais apresentam pelo menos um centro quiral cada (exceto a glicina, em que o grupo radical é um átomo de hidrogênio) – as proteínas naturais são formadas apenas por aminoácidos homoquirais, isto é, apenas um enantiômero está presente na proteína.
c) Enzimas são extremamente específicas a seus substratos, como definido pelo modelo geral de chave e fechadura. Tendo isso em mente, explique por que enzimas são extremamente sensíveis a variações das condições, como temperatura e pH.
#20
A isomeria é um fenômeno muito comum em compostos orgânicos. Uma das formas mais simples de definir isômeros é a que afirma que dois compostos são isômeros se apresentam mesma fórmula molecular, porém são diferentes entre si (isto é, apresentam estruturas reais diferentes).
a) Dados os pares de compostos isômeros abaixo, determine o tipo de isomeria existente entre cada par:
• Acetato de etila / Ácido butanoico
• Ácido maleico (ácido Z-butenodioico) / Ácido fumárico (ácido E-butenodioico)
• Propan-1-ol / Propan-2-ol
• d-Ácido láctico / l-Ácido láctico
• Neopentano / Metilbutano
b) Qual dos dois compostos do último par acima (neopentano / metilbutano) deve apresentar um ponto de ebulição maior? Explique sua resposta.
c) A descrição “compostos isômeros apresentam propriedades físicas e químicas completamente diferentes” é muito comum em materiais didáticos, especialmente naqueles voltados ao ensino médio; todavia, é demasiadamente generalizada e, portanto, imprecisa. Justifique a afirmação acima, explicitando qual classe de isômeros serve de contraexemplo à descrição simplista citada.
#21
Preveja os produtos das seguintes reações e faça o mecanismo:
A) Ciclopenta-1,3-dieno reagindo com ele mesmo.
B) Trimerização do acetileno.
C) Acetileno reagindo com gás hidrogênio, catalisado pelo catalizador de lindlar.
D) 1,3,5-ciclooctatrieno com $$Br_2$$.
E) 1,3-butadieno com cloreto de hidrogênio.
F) Acetona com 1,2-Etanoditiol
#22
a)No processo de sulfonação do benzeno, o composto reage com ácido
sulfúrico concentrado para produzir um ácido benzenossulfônco –
suponhamos que um equivalente de benzeno reaja com um equivalente de
ácido sulfúrico. Desenhe a estrutura do produto P.
Um químico separa uma amostra de 900 mg de benzeno e a submete a
tratamento com 1L de solução 98 mg/100mL de ácido sulfúrico, obtendo
1,34 g de P.
b)Qual reagente estava em excesso?
c)Qual foi o rendimento obtido para a reação de sulfonação do benzeno?
Nosso herói, que é um químico sagaz, pesa cuidadosamente 790 mg do
produto anteriormente obtido e o faz reagir com 500 mL da mesma
solução 98mg/100ml de ácido sulfúrico. Com isso, ele obteve 150 mg do
produto Q.
d)Desenhe a estrutura do composto Q.
e) Calcule o rendimento da conversão de P a Q e compare-o com o
rendimento da formação de P.
f) Justifique a diferença observada em termos da estrutura do
composto P.
Observação: o químico desta história é muito habilidoso e
não aceitará justificativas que evoquem erros nos procedimentos de
laboratório.
#23
A química orgânica é uma área de estudo muito extensa e muito importante no nosso cotidiano. Com base nos seus conhecimentos de química responda as perguntas a seguir.
a)Escreva a forma molecular e desenhe os compostos: etano, 2-butanol, ácido 2-etilpentanóico, 3-hidróxi-2-amino-octanoato de propila, N-etil-N-metil-3-metil-hexilamina.
b)Diga o nome sistemático dos seguintes compostos:
c)Escreva todos os isômeros com fórmula molecular C4H8O
d)Diga os compostos A, B, C e D
#24
A química orgânica é uma área de estudo muito extensa e muito importante no nosso cotidiano. Com base nos seus conhecimentos de química responda as perguntas a seguir.
a)A reação CH4 + Cl2 -> CH3Cl +HCl ocorre em condições fotoquímicas e produz uma série de subprodutos. Explique a formação do etano como subproduto dessa reação.
b)Proponha uma forma de chegar ao ácido acetil salicílico a partir do fenol
c)O composto A tem fórmula molecular C6H12. Dá positivo em água de bromo e resulta em dois compostos D e E em tratamento com O3 seguido de Zn/HCl. Quando tratado em meio ácido produz B, que não reage com CrO3. B em H2SO4 produz C, um composto simétrico que produz apenas um produto F no tratamento com O3 seguido de Zn/HCl. Sugira os produtos de A a F.
d)1,00 g do composto A foram do composto foram tratados com O3 seguido de H2O2 o que gerou apenas um composto B. Com todo o produto produzido foi feita uma solução de 1l e alíquotas de 100ml requereram um volume médio de 24,4 ml de uma solução de NaOH 0,1mol l-1 para se chegar ao ponto de equivalência. Sugira estruturas para A e B. Há mais de uma possibilidade para A? Se sim, sugira outro procedimento para que se possa determinar A.
#25
A isomeria é muito importante na química e crucial para compreendê-la.
- Defina isomeria
- Agrupe os seguintes compostos de tal forma que isômeros fiquem no mesmo grupo

- Escreva todos os isômeros da fórmula C5H11N
- Para cada par de molécula em um grupo da questão b diga o tipo de isomeria apresentada
#26
A isomeria é muito importante na química e crucial para compreendê-la
- A quiralidade é um conceito que tem aplicações na química. Defina quiralidade
- Quais são as regras de Cahn-Ingold-Prelog?
- Classifique todos os centros quirais da seguinte molécula

- Desenhe a conformação em cadeira mais estável dos seguintes compostos:

#27
A isomeria é muito importante na química e crucial para compreendê-la
- O nitrogênio pode apresentar isomeria ótica? E o Fósforo? Justifique sua resposta.
- Não só a química orgânica se beneficiou da isomeria. Explique como o estudo dos isômeros ajudou Werner a desenvolver sua teoria sobre os compostos de coordenação.
- Desenhe todos os isômeros possíveis para o complexo Rh(H)2(CO)3Cl
- Qual é o produto majoritário das reações a seguir

- Qual é o produto majoritário das reações a seguir? Qual das duas reações deve acontecer mais rápido?

#28
- Qual a nomenclatura sistemática IUPAC desse composto? (Use a convenção E-Z)
- Quantos carbonos primários, secundários, terciários e quaternários há nesse composto?
- Quantos carbonos assimétricos há nesse composto?
- Qual o índice de deficiência de hidrogênio desse composto?
#29
Classifique os pares de moléculas a seguir como enantiômeros, diastereoisômeros ou iguais e identifique cada centro de quiralidade como R ou S.
D)
#30
Começando do ciclohexeno e do iodometano, sintetize o octa-2,6-diino. Use quaisquer reagentes inorgânicos que você precise.
(Eu recomendo que você tente sem a dica para treinar suas técnicas em problemas de síntese, mas caso esteja sem ideias, clique na dica abaixo.)
[spoiler title=’Dica’ style=’default’ collapse_link=’true’]Podem existir várias maneiras de conseguir o produto final, mas uma das soluções é usando os reagentes a seguir: $$NH_3$$, $$H_2SO_4$$, $$KMnO_4$$, $$NaNH_2$$, $$LiAlH_4$$ e $$Br_2$$. (Fora de ordem)
Estude reações que envolvem esses compostos para descobrir a maneira de solucionar o problema![/spoiler]
#31
Desde sua descoberta, o Brasil já passou por vários ciclos econômicos. Em alguns deles, a economia brasileira dependia majoritariamente da exportação de algum produto natural, por causa de alguma substância química encontrada nele.
O primeiro desses ciclos, que dá nome ao país, foi o ciclo do Pau-Brasil. A árvore do Pau-Brasil foi muito comercializado no século XVI por causa do pigmento vermelho que pode ser feito a partir de sua madeira. A substância responsável por essa pigmentação vermelha é a Brasilina, junto de sua forma oxidada, a Brasileína.
a) Dê um possível mecanismo para uma oxidação da brasilina em brasileína em meio ácido, supondo que a semirreação de redução complementar seja a redução do $$H_2CrO_4$$ a $$H_2CrO_3$$
Um outro ciclo econômico importante para o Brasil foi o ciclo da cana-de-açúcar. A substância extraída da cana que fazia tal produto ter tanto valor econômico era a Sacarose, o famoso açúcar de mesa. A sacarose é um dissacarídeo formado por uma glicose e uma frutose, cujo nome sistemático é “α-D-glucopiranosil-(1→2)-β-D-fructofuranose”.
b) Dadas as projeções de Fischer para a Glicose e para Frutose acima, dê a projeção de Haworth para a sacarose
De todos os ciclos econômicos do Brasil, possivelmente o mais importante foi o ciclo do café. O que fazia o café ser tão valioso no século XIX era a cafeína, substância capaz de manter as pessoas acordadas por longos períodos de tempo e, portanto, permitir maior produtividade de trabalhadores durante o período de Revolução Industrial que ocorria na Europa e América do Norte.
Hoje em dia, a cafeína pode ser produzida artificialmente por sínteses orgânicas, embora isso não seja economicamente viável já que extraí-la ainda é mais barato. Uma síntese possível da cafeína é a seguinte:
c) Identifique os compostos A, B e C
#32
Analise a seguinte estrutura:
Marque a opção que que corresponda com o valor correto referente a soma das cargas formais presentes nos carbonos descritos:
A) $$-8$$
B) $$-5$$
C) $$0$$
D) $$+5$$
E) $$+10$$
#33
No café, além da cafeína há algumas substâncias que apresentam propriedades secundárias. Abaixo se encontram duas delas, o ácido 5-cafeoilquínico e a mangiferina, respectivamente. Indique as funções orgânicas presentes nos compostos.


#34
O licopeno é um nutriente vegetal presente pincipalmente no tomate, de modo que ele é um importante antioxidante, protegendo o nosso corpo contra a ação de radicais livres, além disso ele é o responsável pela coloração avermelhada característica do tomate. Abaixo temos a estrutura dele:
Com base na estrutura, diga como o licopeno consegue adquirir a cor vermelha e o que iria ocorrer se fosse adicionada água de bromo ($$Br_2/CCl_4$$) a uma porção de licopeno (suco de tomate).
#35
Abaixo está a descrição de um determinado experimento (as cores são meramente ilustrativas):
$$I$$) Inicialmente foi adicionado porções iguais de ácido maleico em dois erlenmeyer.
$$II$$) Um dos erlenmeyer foi devidamente tampado.
$$III$$) Foi liberado radiação UV nos dois erlenmeyer e após isso o erlenmeyer obstruído foi exposto.
$$Resultado$$) Foi possível ver que no erlenmeyer que não havia sido tampado acabou ocorrendo a precipitação de alguma substância substância.
Após a devida analise do experimento, diga qual é o precipitado e por qual motivo ocorreu essa precipitação.
#36
A toxina do baiacu, chamada tetrodoxina, tem a capacidade de gerar paralisia muscular, ao qual na maioria das vezes ocasiona na morte do indivíduo por conta de uma parada respiratória que ocorre enquanto estão conscientes. Desse modo, observe a baixo a seguinte estrutura deste veneno:
Com isso, marque a alternativa que corresponde ao número de ciclos e funções existentes na estrutura:
A) 1 ciclo e as funções são amina, álcool, éter e imina.
B) 2 ciclos e as funções são amina, álcool e éster.
C) 3 ciclos e as funções são amida, álcool, éter e imida.
D) 2 ciclos e as funções são amina, álcool, éter e imina.
E) 1 ciclo e as funções são amina, enol, éter e imina.
#37
Veja os seguintes itens:
$$I$$) A forma correta de se transferir o ácido sulfúrico concentrado é por meio de uma proveta e não uma pipeta (graduada ou volumétrica).
$$II$$) A destilação a vapor é um importante método utilizado para separar líquidos mais voláteis que o solvente em questão e miscíveis com a água. De modo que ele pode ser utilizado para separar componentes que se decompõem com a elevação da temperatura. Desse modo os óleos essenciais podem ser vistos como exemplos de produtos oriundos deste método.
$$III$$) Numa extração (sólido-sólido, líquido-líquido ou gasoso-gasoso) nós temos que o método descontínuo apresenta um rendimento maior que o método contínuo.
$$IV$$) A recristalização é um método de purificação que se baseia em tornar o composto principal saturado em uma solução e fazê-lo precipitar, deixando as impurezas presas na solução.
Com base em sua análise, marque a alternativa que corresponde a quais itens estão corretos:
A) $$I$$ e $$II$$.
B) $$I$$ e $$IV$$.
C) $$II$$ e $$IV$$.
D) $$II$$ e $$III$$.
E) $$III$$ e $$IV$$.
#38
Dada a reação, marque a opção que contenha a fórmula molecular do composto A, a função presente no composto C e o nome da reação:
A) $$C_3H_8O_2$$, Cetona, Alquilação de Friedel-Crafts
B) $$C_2H_4O_2$$, Éter, Esterificação
C) $$C_2H_5O_2$$, Éster, Ozonólise
D) $$C_2H_4O_2$$, Éster, Esterificação
#39
O ácido quadrático, ou ácido esquárico, é uma molécula orgânica de geometria que lembra um quadrado:

No ácido quadrático, podem-se identificar as funções orgânicas
a) cetona e álcool
b) éter e fenol
c) cetona e enol
d) éster e fenol
#40
a) De quantas maneiras um átomo de carbono pode se ligar a um átomo de bromo, um de cloro, um de flúor e um de hidrogênio? Desenhe essas estruturas possíveis. (Para que contem como maneiras diferentes, as estruturas tridimensionais não podem ser sobrepostas por meio de rotações ou translações no espaço.)
b) Prove que só existem duas maneiras de colorir os vértices de um tetraedro com quatro cores diferentes.
c) Qual relação pode ser estabelecida entre o número de possíveis tetraedros com vértices pintados de cores diferentes e a resposta encontrada na primeira questão? O que essa relação sugere sobre a geometria dos orbitais nesse tipo de composto?
#41
Diga quais os compostos de A a D e diga cada uma das reações que ocorrem:
#42
Qual cicloalcano, em sua conformação mais estável, tem ângulos internos de ligação C-C-C médios mais diferentes do valor dado?
a) ciclopropano, 60°.
b) ciclobutano, 90°.
c) ciclopentano, 108°.
d) ciclo-hexano, 120°.
#43
A bola da Copa do Mundo de 2022 é feita de um material chamado Poliuretano Termoplástico. Tal material é conhecido como um polímero que em sua reação formação possui um detalhe especial que confere a ele um titulo especifico de polímero, observe a reação descrita abaixo e diga o nome desse tipo de polímero.
![]()
#44
O ácido ricinoleico é uma substância utilizada em curativos e analgésicos, na qual esta presente no óleo de mamona. A mamona é uma planta extremamente perigosa por conta dela possuir a ricina, um perigoso veneno que gera sintomas típicos de um resfriado até chegar na morte do indivíduo. Com isso, considere a estrutura do ácido ricinoleico, mostrada abaixo, para marcar a alternativa que possui a fórmula molecular correta do composto:
a) $$C_{19}H_{34}O_{2}$$
b) $$C_{18}H_{32}O_{3}$$
c) $$C_{18}H_{34}O_{3}$$
d) $$C_{17}H_{32}O_{2}$$
e) $$C_{18}H_{33}O_{3}$$
#45
Uma reação muito conhecida na química orgânica é a reação de Appel. Sabendo os produtos, pela imagem abaixo, dê o mecanismo para essa reação.
#46
Enantiômeros são compostos que possuem a mesma fórmula molecular (portanto isômeros espaciais), entretanto apresentam uma característica de desviarem o plano polarizado da luz de formas diferentes. É usual, portanto, diferenciar dois enantiômeros pela simples utilização de (+) ou (-) no início do nome de cada isômero, para demonstrar em qual sentido ocorre o desvio do plano da luz. A mistura, em específicas proporções, de dois enantiômeros, então, pode apresentar um “desvio resultante” do plano da luz, uma vez que é como se o desvio de um enantiômero anulasse o desvio do outro. Sabendo disso, e que a relação do desvio final (chamado aqui de $$\alpha_M$$) com os respectivos desvios de cada isômero ($$\alpha_R$$ e $$\alpha_S$$ para os isômeros chamados de R e S, respectivamente) é estabelecida através de uma média ponderada das concentrações com os desvios, calcule:
A) A porcentagem de concentração de cada um dos isômeros se a mistura final possui $$\alpha_M = 0^\circ$$.
B) A porcentagem de concentração de cada um dos isômeros se a mistura final possui $$\alpha_M = 10^\circ$$.
C) O excesso enantiomérico (excesso proporcional) da mistura acima.
DADOS:
$$\alpha_R = -37^\circ$$
$$\alpha_S = 37^\circ$$
#47
Para diferenciar dois isômeros espaciais, já que possuem uma estrutura plana igual, são utilizadas as regras CIP de nomenclatura – a popularmente chamada nomenclatura R/S. Esta nomenclatura, além de mostrar a configuração absoluta dos centros de assimetria, pode auxiliar a transição entre demonstrações planas e 3D de compostos como derivados de ciclohexano. Para esta questão, portanto, trabalharemos com a nomenclatura R/S e sua aplicação neste contexto para a nomenclatura de compostos orgânicos.
A) Dado o seguinte aminoácido, determine a configuração (R/S) do centro de assimetria da molécula: 
B) A partir do nome do seguinte composto, determine sua estrutura, identificando a estereoquímica:
(3R,6S)-6-terc-butil-2-metilnonan-3-ol
#48
Dentre a grande gama de reações químicas da orgânica, um grande grupo é o das reações eletrocíclicas. Dentre estas, um molde de reações que recebe muita atenção é a reação de Diels-Alder, também conhecida como cicloadição 4+2. A grande relevância encontrada é em decorrência da utilização da reação para a formação de duas ligações σ e uma π, ao passo que há a quebra de outras duas ligações π – formando um derivado de ciclohexeno.
Ademais, é uma classe de reações que apresentam alta estereoseletividade, além de alta regiosseletividade, o que entra ao interesse da estereoquímica. Para esta questão, portanto, serão trabalhadas os possíveis isômeros formados a partir de uma reação de Diels-Alder, além dos conceitos associados a ela:
A) Tendo em mente a construção de orbitais conjugados de um dieno simples par (como o butadieno), disserte sobre a necessidade de um conformação s-cis para a ocorrência de uma cicloadição 4+2. Ademais, considerando esses orbitais envolvidos na cicloadição, faça um desenho que ilustre a composição de tanto um dieno quanto um dienófilo quaisquer (ex: butadieno e eteno).
B) A partir das seguintes condições reacionais, apresente todos os possíveis produtos, assim como as respectivas estereoquímicas.

C) Assim como em quaisquer cicloadições, a formação do derivado de ciclohexeno de uma cicloadição 4+2 é dada a partir de dois possíveis processos: Endo e Exo. Entretanto, neste caso específico, Alder verificou que a produção do produto Endo era majoritária, o que não se faz trivial à primeira observação da estereoquímica. Portanto, a partir da construção de orbitais do seguintes dieno e dienófilo, disserte sobre o motivo pelo qual há a maior presença do Endo na mistura de produtos.

Dica: A estabilização do estado de transição favorece a cinética de reação, como em outra qualquer reação orgânica, portanto observe as interações deste estado. ATENÇÃO: uma reação de Diels-Alder não possui intermediário, pois se faz através de um mecanismo concertado.
#49
Analisando as funções nitrogenadas, temos que as principais são a amida e a amina. Dentre as duas, qual possui o maior caráter básico? justifique.
#50
Dê o produto principal e o tipo de mecanismo que ocorre na reação a seguir.
#51
Quando são discutidos os conceitos de reações de substituição, a diferenciação entre um mecanismo chamado de $$S_{N}1$$ e $$S_{N}2$$ pode ser obtida através de comparações cinéticas. Uma $$S_{N}1$$ passa por um processo inicial de formação de uma espécie reativa chamada de carbocátion, a qual apresenta um carbono planar realizando três ligações e com carga formal 1+. Já uma $$S_{N}2$$ apresenta um estado de transição com um carbono interagindo com 5 espécies. Com isso em mente, diga qual das duas reações apresenta, em geral, uma maior velocidade reacional.
DICA: Pense em questão de diagramas de energia entre os reagentes, estado de transição e produtos.
#52
Em reações de substituição bimoleculares ($$S_{N}2$$), é comum que ocorra inversão da configuração absoluta do centro de assimetria, caso este esteja envolvido na substituição.
A) Sabe-se que um composto originalmente possui configuração de (1R, 4S), o qual passa por substituição bimolecular e resulta em um composto com configuração também (1R, 4S). Diga três motivos que podem fazer com que isso tenha ocorrido.
B) Sabe-se que o (R)-butan-2-ol passa por $$S_{N}2$$ quando tratado com meio ácido ou presença de cloreto de tosila ($$TsCl$$). Mostre o produto orgânico da reação quando utilizado o $$LiBr$$ como reagente, assim como a configuração de todos os centros de assimetria das moléculas envolvidas.
Desafio: Tente mostrar o mecanismo entre o meio ácido e a molécula que faz com que seja possível de ocorrer a $$S_{N}2$$
#53
A química orgânica é uma linguagem que necessita do chamado estado de arte do conhecimento, isto é, o nível mais alto que busca a utilização de conceitos dos mais atuais disponíveis para facilitação do processo de conhecimento. Por conta disso, apenas de reações de substituição poderem ser explicadas sem o conhecimento de teorias como a de orbitais moleculares, o entendimento dos mecanismos orbitalares de um processo facilita a compreensão da reação como um todo. Portanto, neste problema, disserte sobre os orbitais envolvidos em todas as etapas de uma $$S_{N}1$$ e de uma $$S_{N}2$$ quaisquer.
#54
Observando a estrutura química abaixo, diga qual o nox médio do carbono.
#55
Observe a tabela que contêm alguns isômeros do pentano:
Levando em conta que os pontos de fusão e ebulição são determinados pelas interações entre as moléculas, diga qual a sequência crescente dessas duas propriedades físicas. Justifique.
#56
Veja a estrutura desses dois isômeros, o ácido maleico e o ácido fumárico:

Constata-se que que a diferença entre as duas moléculas consiste na posição de um grupo $$-COOH$$. Diga qual a interação que cada um deles tem caso seja adicionado em água e qual possui um maior ponto de ebulição. Justifique.
#57
Dê os produtos, com suas respectivas estereoquímicas, indique a relação entre esses dois isômeros e justifique isso com base no mecanismo da reação.
#58
A utilização de radicais em reações orgânicas pode, entre outros, fazer com que produtos específicos sejam feitos em rotas sintéticas complexas. Nos últimos anos, portanto, a pesquisa por mecanismos de eletrossíntese orgânica vem se fazendo cada vez maior, com diversos grupos focando suas pesquisas neste escopo. Um pouco sobre radicais e sobre eletrossíntese, responda os seguintes:
A) Escreva um mecanismo de anti-markovnikov do but-1-eno com as seguintes condições: utilização de um peróxido qualquer $$RO-OR$$ sob luz e $$HBr$$ concentrado.
A seguinte reação pode ocorrer a partir do mostrado ácido carboxílico – por uma oxidação anódica – para produzir o composto abaixo.
Sobre essa reação, responda os seguintes:
B) A primeira etapa da reação ocorre pela presença da base e, posteriormente, da oxidação anódica. Sabendo disso, explicite quais são as etapas até a formação da primeira espécie radicular, além de evidenciar qual o fator que colabora para isso ocorrer.
C) Descreva todo o mecanismo reacional para a formação do produto requerido — considere que a corrente foi suficiente para que muitas moléculas passassem por oxidação.
#59
O ácido tartárico é muito conhecido na química como um composto que pode vir a desviar a luz polarizada. Observe a sua estrutura representada abaixo:
De acordo com a figura, determine o número de centros queirais desse composto e diga qual o número de estereoisômeros opticamente ativos que esse composto possui.
#60
Na química orgânica, uma ferramenta que pode ser utilizada para observar a geometria molecular de algumas espécies é a Ressonância Magnética Nuclear (RMN), através da análise de comportamento do espectro da espécie requerida.
A) Sabendo que a fórmula molecular do composto é $$C_{5}H_{10}O_{2}$$, analise o seguinte espectro de $$H_{1}$$ RMN:
Desenhe a molécula mostrada no espectro e, sabendo que a frequência foi de 1000Mhz, diga qual o $$^{3}J$$, a multiplicidade e a integração de cada hidrogênio.
B) Sabendo que a fórmula molecular do composto é $$C_{6}H_{6}O$$, analise o seguinte espectro de $$^{1}H$$ RMN:
Desenhe a molécula mostrada no espectro e, sabendo que a frequência foi de 1000Mhz, diga qual o $$^{3}J$$, a multiplicidade e a integração de cada hidrogênio.
C) Na molécula do item B, há um oxigênio ligado à cadeia carbônica. Diga qual a hibridação deste oxigênio e disserte sobre a motivação energética que faz com que esta modificação ocorra.
#61
A reação de Wittig é uma ótima forma de formar alcenos, sendo muito útil nas sínteses orgânicas. Abaixo é mostrada a reação do 2-clorobutano com a propanona, na presença de trifenilfosfina e butil-lítio.
Apresente um mecanismo consistente para a reação acima.








































