Química – Semana 54

por

Escrito por Jurandi Campelo e Ygor de Santana Moura 

Iniciante

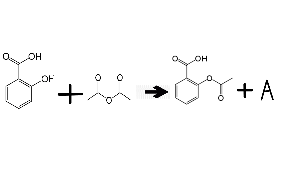
A química é muito importante em muitos aspectos da nossa vida. Considere a seguinte reação para produzir o ácido acetilsalicílico (AAS), um analgésico e antipirético:

a) Considerando que uma pastilha de AAS contém 100mg do composto químico, quantos gramas de ácido salicílico são necessários pra preparar uma caixa com 10 comprimidos?

O silício é um semicondutor importante na produção de chips de computador. Uma etapa na produção de silício de alta pureza é a redução do cloreto de silício com magnésio.

b) Escreva a equação química do processo, balanceie-a e diga a quantidade de magnésio necessária para produzir 50g de Si.

O etanol anidro pode ser usado como solvente em algumas reações que não podem se processar em meio aquoso e pode ser usado para fazer transesterificações.

c) Partindo de uma mistura de 50% água e 50% etanol sugira um método para obtenção de etanol mais concentrado. Dado: Teb, água= 100°C, Teb, etanol=78°C.

Nas estações de tratamento de esgoto sulfato de alumínio e hidróxido de sódio são adicionados à água nos primeiros estágios do tratamento.

d) Explique a adição desses agentes químicos.

Intermediário

A química é muito importante em muitos aspectos da nossa vida. Considere a seguinte reação para produzir o ácido acetilsalicílico (AAS), um analgésico e antipirético:

a) Considerando que uma pastilha de AAS contém 100mg do composto químico, quantos gramas de ácido salicílico são necessários pra preparar uma caixa com 10 comprimidos? Qual é o produto A? Dica: você pode usar a lei de Lavoiser para tentar descobrir. Além disso você pode colocar A na sua salada

  • a)Considerando que uma pastilha de AAS contém 100mg do composto químico, quantos gramas de ácido salicílico são necessários pra preparar uma caixa com 10 comprimidos? Qual é o produto A? Dica: você pode usar a lei de Lavoiser para tentar descobrir.

O etanol anidro pode ser usado como solvente em algumas reações que não podem se processar em meio aquoso e pode ser usado para fazer transesterificações.A mistura de água e etanol pode ser um azeótropo.

b) Explique o que é um azeótropo e sugira uma maneira de purificar o etanol ainda mais.

Durante muito tempo era muito difícil de se fabricar alumínio e seu preço chegou a se assemelhar ao do ouro.

c) Diga se é possível produzir Al partindo do óxido de alumínio e um dos metais a seguir: Fe, Zn, Cu, Pb. Dica: Use os potenciais de redução

Seria difícil imaginar a vida moderna sem os polímeros sintéticos. Eles formam os mais variados produtos, passando da roupa à sacola plástica do supermercado.

d) Qual função orgânica há na molécula do nylon 6?

Avançado

Tome o seguinte equilibrio:

          A relação entre a constante de equilibrio e a temperatura da reação pode ser expressada pela equação:

logKp = -4374/T + 1,75 logT + 3.78   T= Temperatura em kelvin

a) Calcule Kc a 300 °C

          Considere que a reação ocorre em condições isotérmicas e isobáricas à temperatura de 200 °C e uma pressão de 150kPa em um um recipiente de volume variável até que o equilibrio seja atingido. Além disso, considere que havia apenas penta cloreto de fósforo no início da reação.

b) Calcule a pressão parcial das três espécies envolvidas no equilíbrio. Use Kp= 0,2.

c) Com os valores obtidos no item anterior, calcule o grau de conversão, α, do PCl5.

          O pentacloreto de fósforo é um composto molecular em temperaturas superiores a 160 °C. Abaixo dessa tempetura, o composto existe na forma de sólido iônico.

d) Quais são os íons que constituem esse sólido? Dê a estrutura de lewis e a geometria para cada íon.

          Seguindo o modelo VSEPR, os compostos PCl5 e PF5 possuem a geometria Biripamide trigonal. Compostos com essa geometria apresentam diferenças entre suas ligações equatoriais e axiais. Apesar disso, ao visualizarmos o espectro de RMN 19F do pentafluoreto de fósforo, apenas um tipo de sinal é detectado.

e) Explique esse fato.

Comentários

Deixe um comentário

O seu endereço de e-mail não será publicado. Campos obrigatórios são marcados com *