INICIANTE:
O Silício é um elemento de grande relevância no estudo de Química Inorgânica, sendo o segundo elemento mais abundante da crosta terrestre.
a) Cite a fórmula molecular da substância na qual o Silício é mais comumente encontrado na Terra.
b) Cite pelo menos duas formas nas quais a substância trabalhada no item anterior pode ser encontrada – na natureza e/ou após tratamento industrial.
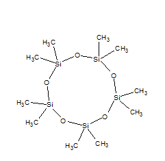
Existem muitas semelhanças entre a “química do Silício” e a Química Orgânica, o que sugere que o semimetal poderia ser um bom candidato a elemento-base da vida.
Uma das principais diferenças entre os dois compostos, contudo, é a grande dificuldade do Silício em formar ligações $$\pi_{pp}$$. Uma vez que as estruturas de moléculas orgânicas frequentemente apresentam ligações $$\pi$$, isso limita muito a química do Silício em relação à Química Orgânica.
c) À luz desses fatos, avalie as seguintes estruturas baseadas em cadeias de Silício e aponte aquela cuja síntese provavelmente seria inviável.
INTERMÉDIARIO:
O estudo de termodinâmica na química é importante pois permite ao analista determinar diversas propriedades das reações analisadas a partir de poucos dados experimentais. Sobre a seguinte reação:
$$\dfrac{1}{2}Cl_{2(g)} + Na_{(s)} \longrightarrow NaCl_{(s)}$$
a) Quanto de energia seria liberada nessa equação formando 15 g de NaCl a 298,15 K?
b) Quanto de energia seria liberada na formação da mesma massa a 198,15 K?
c) Com base nos seus conhecimentos de química, você espera que essa reação na temperatura ambiente seja espontânea ou não? Por que?
d) Com base nos dados fornecidos, descubra se a reação é espontânea a 298,15 K.
e)(DESAFIO) Em qual temperatura a sua resposta do item d) deixa de ser válida? Considere as Capacidades Caloríficas constante.
Dados: $$| \Delta Hret_{NaCl}| = 786 kJ/mol;\, 1^a EI_{Na} = 496 kJ/mol;\, A_{Cl}= 349 kJ/mol;\, \Delta Hl_{Cl2} = 243,4 kJ/mol;\, \Delta H^of_{Na(g)} = 107 kJ/mol;\, S^o_{Cl2} = 223,1 \dfrac{J}{(mol*K)};\, S^o_{Na} = 51,21 \dfrac{J}{(mol*K)};\, S^o_{NaCl} = 72.13 \dfrac{J}{(mol*K)};\, C_{pm,NaCl_{(s)}} = 50,50 \dfrac{J}{(mol*K)};\, C_{pm,Na_{(s)}} = 28,24 \dfrac{J}{(mol*K)};\, C_{pm,Cl_{2(g)}} = 33,91 \dfrac{J}{(mol*K)}$$
AVANÇADO:
a) Para trabalhar com Sódio metálico, um químico decide criar uma atmosfera artificialmente seca.
No interior do laboratório, a temperatura é de $$20^oC$$ e a respectiva pressão máxima de vapor da água é de $$2,3 kPa$$. Assume-se que o ar totalmente seco seja composto apenas por $$N_2$$ e $$O_2$$ na razão volumétrica de 4:1 e que o experimento seja conduzido sob pressão de uma atmosfera, o que equivale a $$100 kPa$$.
Sabendo que a umidade relativa do ar é se $$20 \%$$, calcule a massa molar média do ar usado no laboratório.
b) Os dois gases mais abundantes da atmosfera terrestre são $$N_2$$ e $$O_2$$. O gás nitrogênio, porém, é significativamente mais abundante.
Justifique a maior abundância de $$N_2$$ em relação a $$O_2$$.
c) O terceiro gás mais abundante do ar atmosférico seco é o Argônio, que representa $$0,93 \%$$ do volume de ar seco.
Determine a umidade do ar, a $$20^oC$$, para que o vapor de água se torne o terceiro gás mais abundante.





Deixe um comentário